






南方TD管道循环泵
南方污泥回流泵TD125-14/4SWHC 冷却/空调水单级立式管道循环泵
应用领域:
工业系统、供水系统、冷却和空调系统、系统增压
材质:
铸铁、双相钢
产品说明:
单级立式管道循环泵,泵进出水口在泵底同一直线上,产品设计为顶部可拉出的拆装形式,其可以在不影响管路系统的情况下对泵进行维修。
性能及优点:
结构紧凑、维护方便、噪音低、可选配铸铁或不锈钢叶轮
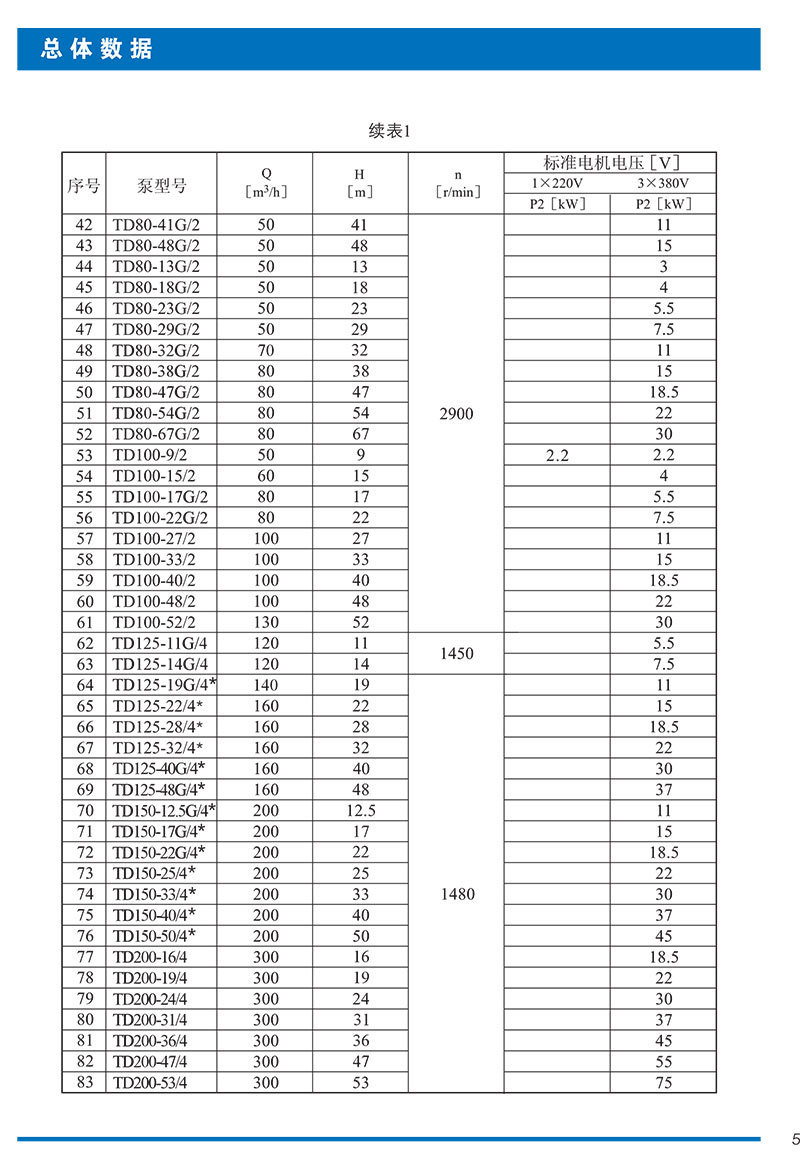
技术参数:
流量:4m3/h~1200m3/h
扬程:4.5m~108m
功率:1.1kW~200kW
液体温度:-15℃~+110℃
频率:50Hz/60Hz







开票另加税点,详细咨询客服!